金立M5 Plus續航測試 5020mAh+雙充電(3)
在去年6月份,金立M5以6020mAh的驚人大電池鞏固了金立在長續航智能手機領域里的領先地位,時隔數月升級版金立M5Plus趕在2015年末12月21日正式發布。除了將前代M5上5.5英寸的屏幕升級到了6英寸AMOLED屏幕,搭載正面按。...
連續播放視頻5.5小時
評測標準所有環節測試完畢后,金立M5Plus還剩余69%的電量,在筆者進行了一些瑣事操作之后,電量為62%。筆者也開始進行另外一項測試。在手機上打開優酷應用,Wi-Fi環境下緩沖一段35分鐘的視頻(清晰度為高清),之后進行循環播放,用以測試手機在一種模式下的續航能力。測試前將手機屏幕亮度調至一半、音量50%、視頻播放時屏幕持續保持亮屏狀態。

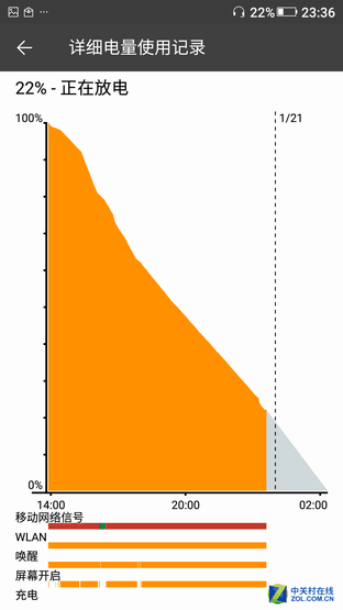
近5.5小時優酷高清視頻消耗40%的電量
測試從晚上6點03分開始,因為還剩過半電量,所以筆者并不擔心金立M5Plus的會出現關機,將手機塞入包中等待其耗電,經過了將近5.5小時的視頻播放,電量消耗40%,剩余22%,由此可見金立M5Plus連續觀看視頻的話13小時不成問題。


不同階段電量圖
評測總結:3小時的重度使用之后,剩余電量為69%。從使用情況來看,即使游戲環節也并未掉太多的點,而49分鐘視頻僅僅消耗5%的電量,如果僅是用于觀看視頻,那么擁有6英寸超大屏幕的金立M5Plus一定會令你滿意。整體重度使用一天完全沒有壓力,作為一部國產手機,無論是優秀的續航能力,還是精細的做工細節,都向用戶表明它是一部實用且好用的手機。如果你最近想更換手機的話,這臺手機一定可以納入考慮范圍。

